ゾルピデム 窒素原子の混成軌道 第101回薬剤師国家試験問209の1,2
第101回薬剤師国家試験 問209の1,2
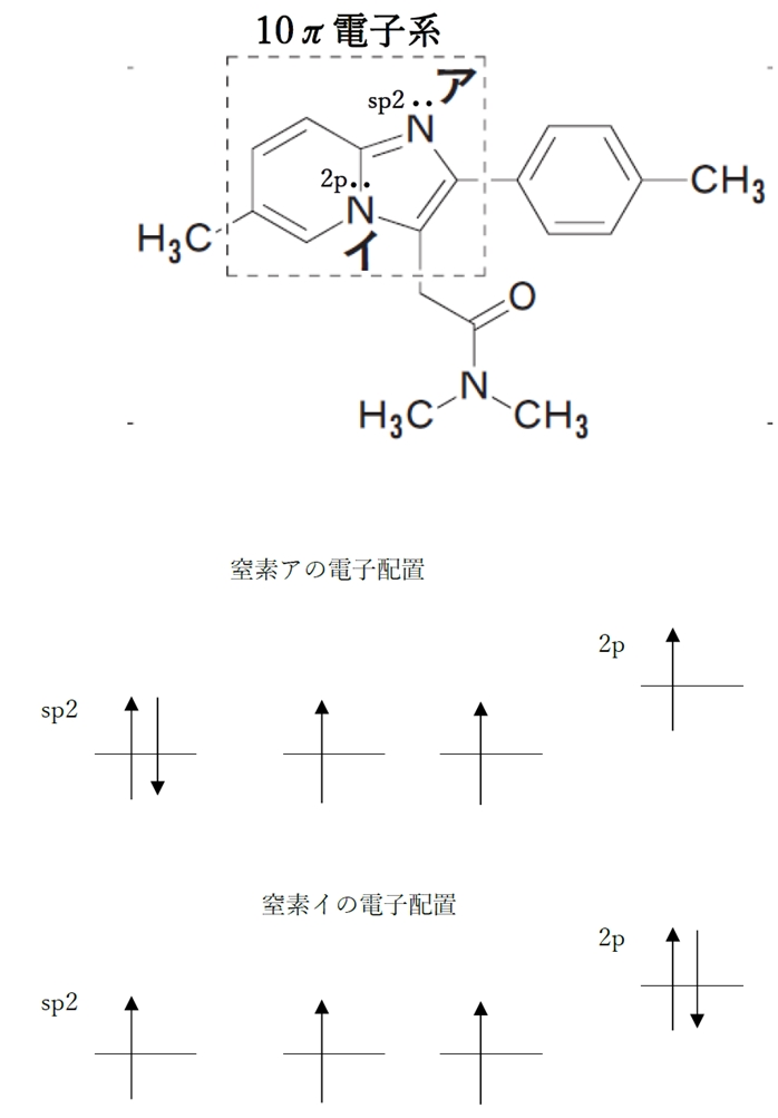
ゾルピデム酒石酸塩に関する記述の正誤を判定してみよう。

1 窒素原子アはsp3混成軌道をもつ。
2 破線で囲んだ環は芳香族性をもつ。
第101回薬剤師国家試験 問209の1,2 解答解説
1 × 窒素原子アはsp3混成軌道をもつ。
→ 〇 窒素原子アはsp2混成軌道をもつ。
2 〇 破線で囲んだ環は芳香族性をもつ。
環状化合物が芳香族性を示す条件は下記の@〜Bの通り。
@ 環を構成する全ての原子がsp2混成軌道をとり、平面構造である。
A 隣り合う原子のp軌道同士がすべて重なり合う。
B 環が4n+2個(n=0,1,2,3…)のπ電子を有する(ヒュッケル則)。
破線で囲んだ環は10個のπ電子を有し、芳香族性を示すと考えられる。
よって、窒素原子アとイはいずれもsp2混成軌道を持つ。
また、窒素アの非共有電子対はsp2混成軌道に収容され、窒素イの非共有電子対はp軌道に収容されていると考えられる。

★ 他サイトさんの解説へのリンク
第101回問209(e-RECさん)