ビタミンB12 フラノース環,ベンゾイミダゾール,コリン環 106回薬剤師国家試験問101の3,4
第106回薬剤師国家試験 問101の3、4
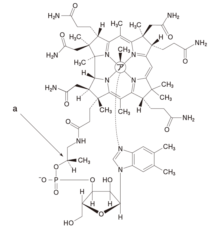
以下に示したビタミンの構造に関する記述のうち、正しいのはどれか。2つ選びなさい。なお、アの金属カチオンに結合している原子の電荷(形式電荷)は省略されている。

3 インドール骨格が含まれる。
4 フラノース環が含まれる。
第106回薬剤師国家試験 問101の3、4 解答解説
設問の構造は補酵素型ビタミンB12の1種のメチルコバラミンである。
◆ 3について
3 × インドール骨格が含まれる。
→ 〇 ベンゾイミダゾール骨格が含まれる。
メチルコバラミンに含まれる下記のベンゼンとイミダゾールが縮合した構造をベンゾイミダゾールと呼ぶ。

なお、インドールは下記の通り。

◆ 4について
4 〇 フラノース環が含まれる。
フラノース,ピラノースについては下記のリンク先を参照
フラノース,ピラノースとは
メチルコバラミンにはα-D-リボフラノース構造が含まれる。
他、ビタミンB12はコリン環を含む。

★参考外部サイトリンク
コリン環(wikipediaさん)