励起波長の光のエネルギーと蛍光波長の光のエネルギーとの間のエネルギー差 109回薬剤師国家試験問95
109回薬剤師国家試験 問95
図はある蛍光物質の励起スペクトルと蛍光スペクトルである。

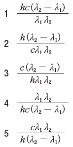
この励起スペクトルの極大波長(励起波長)がλ1、蛍光スペクトルの極大波長(蛍光波長)がλ2 であるとすると、この蛍光物質の励起波長の光のエネルギーと蛍光波長の光のエネルギーとの間のエネルギー差を求める式はどれか。1つ選びなさい。
ただし、プランク定数はh、光速度はcとする。

109回薬剤師国家試験 問95 解答解説
本問の蛍光物質の励起波長の光のエネルギーと蛍光波長の光のエネルギーとの間のエネルギー差を求める式は、選択肢1の式である。


本問の蛍光物質について、
励起スペクトルの極大波長(励起波長)はλ1であり、
蛍光スペクトルの極大波長(蛍光波長)はλ2 である。
本問の蛍光物質について、B式より、
励起波長の光のエネルギー(E励起)と蛍光波長の光のエネルギー(E蛍光)との間のエネルギー差は、下記のように表される。

★他サイトさんの解説へのリンク
109回問95(e-RECさん)