アルケン 四酸化オスミウムOSO4 NaHSO3処理 98回薬剤師国家試験問103の5
98回薬剤師国家試験 問103の5
AとBはそれぞれ互いに異性体である。以下の反応について、どちらが主生成物であるか判定してみよう。

98回薬剤師国家試験 問103の5 解答解説
5の主生成物はBである。

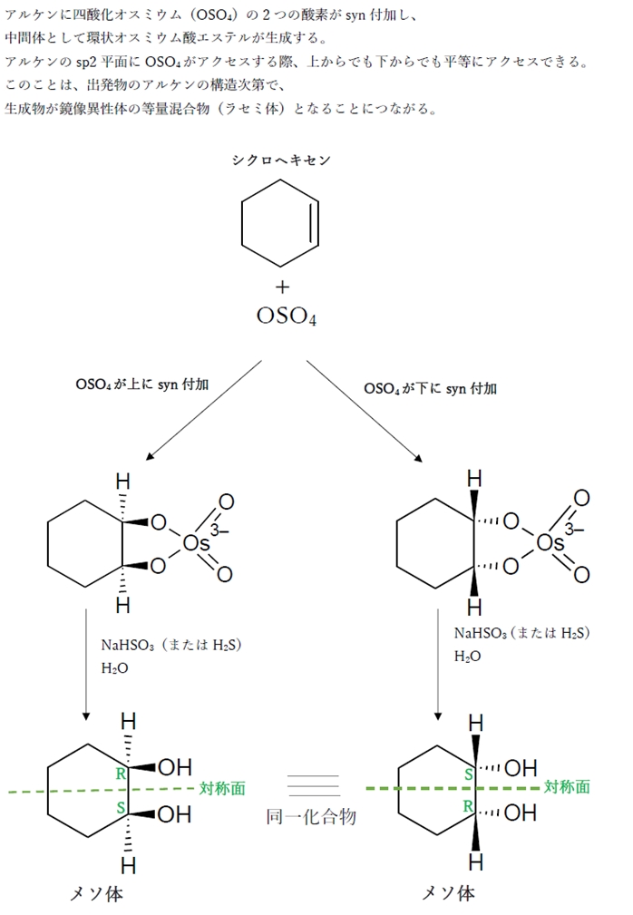
5の反応では、アルケンに四酸化オスミウム(OSO4)を反応させると、OsO4がsyn付加し、中間体として環状オスミウム酸エステルが生成する。
続いて、NaHSO3(亜硫酸水素ナトリウム)水溶液で還元処理することにより、アルケンに2つのOHがsyn付加(cis付加)したジオールが得られる。
反応5は以下の通り進行する。

★ アルケンに四酸化オスミウム+NaHSO3(またはH2S)水溶液を反応させるジヒドロキシ化がsyn付加である理由
アルケンに対してOSO4が付加する際、OSO4の2つのOが同じ側(syn)に付加する。この2つのOが、還元処理によりOHに置換する。よって、アルケンのOSO4を用いたジヒドロキシ化では、2つのOHがsyn付加したジオールが主生成物となる。
★ アルケンに四酸化オスミウム(OSO4)+過ヨウ素酸ナトリウム(NaIO4)を反応させた場合は、アルケンの酸化的開裂が起こり、アルデヒドまたはケトンが得られる。
★他サイトさんの解説へのリンク
第98回103(e-RECさん)