β酸化 脂肪酸と補酵素Aが縮合したチオエステルからアセチルCoAが生じる経路 104回薬剤師国家試験問138
第104回薬剤師国家試験 問138
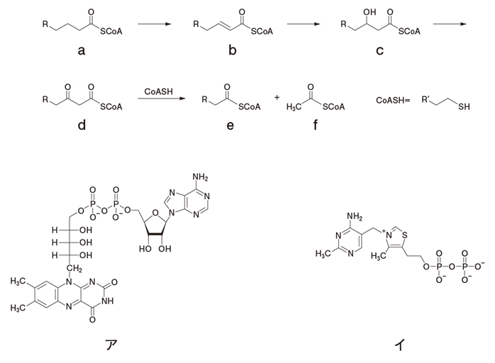
β酸化による脂肪酸の代謝反応のうち、脂肪酸と補酵素A(CoASH)が縮合したチオエステルaからアセチルCoA(化合物f)が生じる経路を示す。下の記述のうち正しいのはどれか。2つ選びなさい。ただし、ア及びイは補酵素であり、チオエステルはエステルと同様の反応を起こすものとする。

1 化合物aからbへの変換には、補酵素アが必要である。
2 化合物bからcへの反応は、酸化反応である。
3 化合物cからdへの変換には、補酵素イが必要である。
4 化合物dからe及びfへの反応では、CoASH が求核剤としてはたらいている。
5 化合物dのチオエステルのα-水素の酸性度は、化合物aのものよりも低い。
第104回薬剤師国家試験 問138 解答解説
脂肪酸のβ酸化はミトコンドリアのマトリックスで行われる。
設問の経路のうち、
各デヒドロゲナーゼが触媒するa→bとc→dの反応が酸化反応である。

β酸化で生成するFADH2とNADHは電子伝達系−酸化的リン酸化でのATP産生に使われ、アセチルCoAはクエン酸回路および電子伝達系−酸化的リン酸化でのATP産生に使われる。
◆ 1について

1 〇 化合物aからbへの変換には、補酵素アが必要である。
アシルCoA脱水素酵素の触媒により、脂肪酸アシルCoA(a)のα位とβ位が脱水素され(酸化)、α,β-不飽和アシルCoA(b)が生成する。この反応では、補酵素のFADが2つのプロトンと2つの電子を受容することで還元され、FADH2となる。

◆ 2について

2 × 化合物bからcへの反応は、酸化反応である。
bからcへの反応は、α,β-不飽和カルボニル(b)に対する水の求核共役付加反応であるが、酸化でも還元でもない。
アルケンの中でも、C=Cに電子求引基が置換しているアルケンでは、電子求引性電子効果によりβ位に該当するC=Cの炭素が電子不足になっており、そのβ炭素に対して求核剤が付加するという求核共役付加反応が起こる。

αβ不飽和カルボニルに対する求核共役付加反応については下記のリンク先を参照
αβ不飽和カルボニル マイケル付加 102回問207
◆ 3について

3 × 化合物cからdへの変換には、補酵素イが必要である。
→ 〇 化合物cからdへの変換には、補酵素NAD+(酸化型NAD)が必要である。
NADとは、ニコチンアミドアデニンジヌクレオチド (nicotinamide adenine dinucleotide)である。
cからdへの変換は下記の通り。

ヒドロキシアシルCoA脱水素酵素の触媒により、β-ヒドロキシアシルCoAが脱水素され(酸化)、β-ケトアシルCoAが生成する。この反応では、補酵素のNAD+(酸化型NAD)が還元され、NADHとなる。
なお、補酵素イはビタミンB1の活性型のチアミンピロリン酸(TPP)の構造であり、糖質代謝関与し、ピルビン酸デヒドロゲナーゼなどの補酵素である。
の構造 ビタミンB1.jpg)
◆ 4について

4 〇 化合物dからe及びfへの反応では、CoASH が求核剤としてはたらいている。
dのβ位のカルボニル炭素に対して補酵素A(CoASH)が求核攻撃をして付加し、アルコキシドイオンおよびエノラートイオンを経由し、最終的にアセチルCoAと炭素2個分が短くなったチオエステルを生成する。

◆ 5について

5 × 化合物dのチオエステルのα-水素の酸性度は、化合物aのものよりも低い。
→ 〇 化合物dのチオエステルのα-水素の酸性度は、化合物aのものよりも高い。
詳細は下記のリンク先を参照
チオエステルのα-水素の酸性度 104回問138の5
★他サイトさんの解説へのリンク
第104回問137〜140(e-RECさん)