レボドパとその関連化合物の名称,合成 97回薬剤師国家試験問211
97回薬剤師国家試験 問211
レボドパとその関連化合物に関する記述のうち、正しいのはどれか。1つ選びなさい。

1 レボドパの名称は(S )-3-(3,4-dihydroxyphenyl)valine である。
2 レボドパは副腎皮質でトリプトファンから合成される。
3 レボドパが脱炭酸されると、ドパミンが生じる。
4 ドパミンのベンジル位がヒドロキシ化されるとアドレナリンが生じる。
5 ノルアドレナリン及びアドレナリンを含む一部の生体アミンをフェノールアミンとよぶ。
97回薬剤師国家試験 問211 解答解説
◆ 1について
1 × レボドパの名称は(S )-3-(3,4-dihydroxyphenyl)valine である。
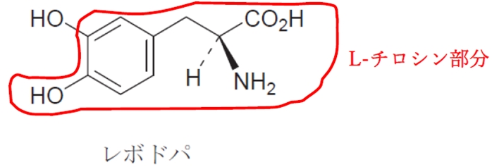
→ 〇 レボドパの名称は3-Hydroxy-L-tyrosineである。
→ 〇 レボドパのIUPACは(S)-2-amino-3-(3,4-dihydroxyphenyl)propanoic acidである。
レボドパはL-チロシンの芳香環の3位が水酸化(ヒドロキシ化)されて生成するので、
3-Hydroxy-L-tyrosineである。

また、IUPAC名は(S)-2-amino-3-(3,4-dihydroxyphenyl)propanoic acidである。

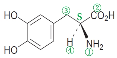
レボドパの不斉炭素の絶対配置は、
CのHが紙面から奥側にあり、@ABが反時計回りに並んでいるのでSである。

不斉中心の絶対配置の判別の仕方については、下記のリンク先を参照
不斉中心の絶対配置の判別について
◆ 2,3,4について
カテコールアミンの生合成と代謝は下記のリンク先を参照
カテコールアミンの合成と代謝の経路
2 × レボドパは副腎皮質でトリプトファンから合成される。
→ 〇 レボドパは副腎髄質や神経細胞などでチロシンから合成される。
3 〇 レボドパが脱炭酸されると、ドパミンが生じる。
4 × ドパミンのベンジル位がヒドロキシ化されるとアドレナリンが生じる。
→ 〇 ドパミンのベンジル位がヒドロキシ化されるとノルアドレナリンが生じ、ノルアドレナリンのアミノ基がメチル化されるとアドレナリンが生じる。
◆ 5について
5 × ノルアドレナリン及びアドレナリンを含む一部の生体アミンをフェノールアミンとよぶ。
→ 〇 ノルアドレナリン及びアドレナリンを含む一部の生体アミンをカテコールアミンとよぶ。
下記のアドレナリンのように、
構造中にカテコールとアミンを有する化合物をカテコールアミンと呼ぶ。

★他サイトさんの解説へのリンク
第97回問210,211(e-RECさん)