d-プソイドエフェドリンのIUPAC名 105回薬剤師国家試験問7
105回薬剤師国家試験 問7
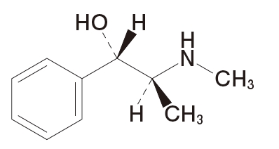
以下に示す薬物のIUPAC名として正しいのはどれか。1つ選びなさい。

1 (1S,2S)-1-Methylamino-2-phenylpropan-2-ol
2 (1S,2R)-1-Methylamino-2-phenylpropan-2-ol
3 (1S,2S)-2-Methylamino-1-phenylpropan-1-ol
4 (1S,2S)-1-Methyl-1-methylamino-2-phenylethan-2-ol
5 (1S,2S)-2-Methyl-2-methylamino-1-phenylethan-1-ol
105回薬剤師国家試験 問7 解答解説
設問の化合物はd-プソイドエフェドリンである。
正解は
3の(1S,2S)-2-Methylamino-1-phenylpropan-1-ol
である。

◆ 主基・母核
主基は優先順位からアルコールである。
官能基の優先順位については、下記のリンク先を参照
IUPAC命名法 官能基の優先順位 100回問10
母核は炭素数3のpropaneである。
よって、母核+接尾語は、
propan〜-olとなる。
◆ 置換基の命名
置換基の位置の示し方として、置換基が結合している炭素の番号ができるだけ小さくなるように炭素に番号を付ける。
置換基が複数ある炭素鎖では、大きい炭素番号が付いた置換基ができるだけ少なくなるように、または、炭素番号の数字の総合計ができるだけ小さくなるようにする。
よって、設問の化合物は、母核のpropaneにおいて、
1位にOHとphenyl基、
2位にMethylamino基 が置換していると示され、
2-Methylamino-1-phenylpropan-1-olと記される。

◆ 不斉中心の絶対配置
不斉中心の絶対配置の判別の仕方については、下記のリンク先を参照
不斉中心の絶対配置の判別について
・1位の絶対配置

CのHが手前にあり、@ABが時計回りに並んでいるのでSである。よって、1S
・2位の絶対配置

CのHが奥にあり、@ABが反時計回りに並んでいるのでSである。よって、2S
以上より、設問の化合物のIUPAC名は、
(1S,2S)-2-Methylamino-1-phenylpropan-1-ol
である。

★参考外部サイトリンク
命名法(猫でもわかる有機化学さん)
★他サイトさんの解説へのリンク
第105回問7(e-RECさん)