オセルタミビル Aの基本骨格BのIUPAC名 95回薬剤師国家試験問11c
第95回薬剤師国家試験 問11c
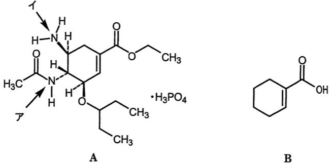
オセルタミビルリン酸塩Aに関する記述の正誤を判定してみよう。

c Aの基本骨格BのIUPAC名はcyclohexenoic acid である。
第95回薬剤師国家試験 問11c 解答解説

c × Aの基本骨格BのIUPAC名はcyclohexenoic acid である。
→ 〇 Aの基本骨格BのIUPAC名はcyclohex-1-enecarboxylic acidである。
カルボキシ基が主基の場合、母核の炭化水素にCOOHの炭素を含んで“〜oic acid”と命名することが多い。
しかし、カルボキシ基が主基でも、母核の炭化水素が環状であり、そこに直接カルボキシ基が置換しているカルボン酸は、母核の炭化水素にCOOHの炭素を含めず“-carboxylic acid”と命名する。下記の2つはその例である。


その他、母核にカルボキシ基が3つ以上結合するカルボン酸なども、母核の炭化水素にCOOHの炭素を含めず“-carboxylic acid”と命名する。
下記のリンク先を参照
クエン酸のIUPAC名 105回問101の1