ハッカ油に含まれる化合物の立体異性体 84回薬剤師国家試験問36
第84回薬剤師国家試験 問36
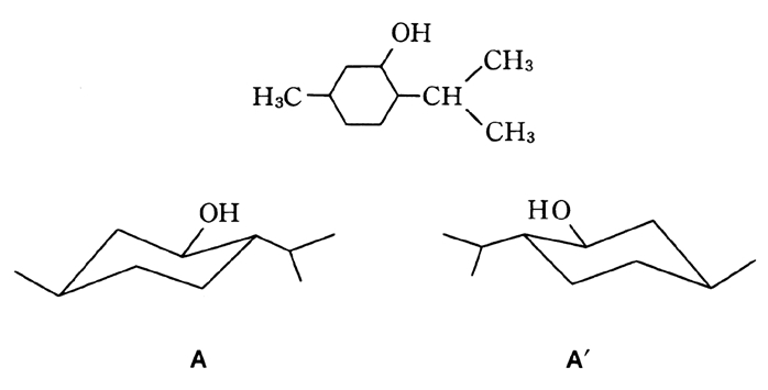
ハッカ油に含まれる化合物の平面構造式と立体異性体2種のコンホメーション(立体配座)を下記に示した。
この化合物に関する次の記述より、正しいものを選びなさい。

a この化合物はカンフルであり、AとA′はジアステレオマーの関係にある。
b この化合物はメントールであり、AとA′は鏡像異性体(エナンチオマー)の関係にある。
c この化合物はメントールであり、AとA′はジアステレオマーの関係にある。
d この化合物はピネンであり、AとA′は鏡像異性体(エナンチオマー)の関係にある。
e この化合物には不斉炭素原子(キラル中心)が2個存在する。
f この化合物には不斉炭素原子(キラル中心)が3個存在する。
第84回薬剤師国家試験 問36 解答解説

正しいのは下記の記述である。
b ○ この化合物はメントールであり、AとA′は鏡像異性体(エナンチオマー)の関係にある。
f ○ この化合物には不斉炭素原子(キラル中心)が3個存在する。

設問の化合物(2-isopropyl-5-methylcyclohexanol)はメントールである。
AとA´の立体について、シクロヘキサン環から伸びる置換基の結合の方向(上、下)に注意して判定すると、下記のようになる。

Aは(1R,2S,5R)-2-isopropyl-5-methylcyclohexanol、
A´は(1S,2R,5S)-2-isopropyl-5-methylcyclohexanolであり、
AとA´は全ての不斉中心で絶対配置が互いに逆の関係であるので、AとA´は互いにエナンチオマー(鏡像異性体)の関係である。