1,2-ジメチルシクロヘキサンの立体異性体の安定性 93回薬剤師国家試験問5
第93回薬剤師国家試験 問5
いす形配座で表される構造式A、B及びCに関する記述の正誤を判定してみよう。
a BはAよりエネルギー的に安定である。
b BはCよりエネルギー的に安定である。
c BとCは同一の化合物である。
d Aはtrans-1,2-ジメチルシクロヘキサンである。
第93回薬剤師国家試験 問5 解答解説
◆ aについて

a 〇 BはAよりエネルギー的に安定である。
シクロヘキサン誘導体の最も安定な配座を考える際のポイントは、
置換基による1,3−ジアキシアル相互作用である。
1,3−ジアキシアル相互作用については、下記のリンク先を参照
シクロヘキサンの安定配座 ジアキシアル相互作用とひずみエネルギー
シクロヘキサン誘導体のいす形配座では、1,3−ジアキシアル相互作用の立体ひずみエネルギーの合計が小さいほど、その配座の安定性は高い。
1,3−ジアキシアル相互作用は置換基が大きいほど強くなることから、大きな置換基がエクアトリアル位になる立体配座はポテンシャルエネルギーが低く、安定性が高い。
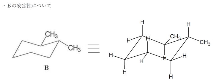
AとBの安定性については、下記の通り。

上記のように、Aはメチル基の1つがアキシアルなので、メチル基と水素原子の1,3−ジアキシアル相互作用による立体ひずみが生じるため、エネルギーが高くなる。

上記のように、Bは2つのメチル基がともにエクアトリアルであるため、置換基の1,3−ジアキシアル相互作用による立体ひずみが生じない。
以上より、BはAよりエネルギーが低く、安定性が高い。
◆ bについて

b 〇 BはCよりエネルギー的に安定である。

上記のように、Cは2つのメチル基がアキシアルなので、メチル基と水素原子の1,3−ジアキシアル相互作用による立体ひずみが生じるため、エネルギーが高くなる。
以上より、BはCよりエネルギーが低く、安定性が高い。
◆ cについて

c 〇 BとCは同一の化合物である。
B、Cを破線−楔(くさび)形表記で描くと、下記のようになる。

よって、BとCはいずれもtrans-1,2-ジメチルシクロヘキサンである。
BとCは、trans-1,2-ジメチルシクロヘキサンのいす形配座の互いに環反転した立体配座異性体である。

◆ dについて

d × Aはtrans-1,2-ジメチルシクロヘキサンである。
→ 〇 Aはcis-1,2-ジメチルシクロヘキサンである。
Aを破線−楔(くさび)形表記で描くと、下記のようになる。

★参考外部サイトリンク
シクロヘキサンの立体配座(wikipediaさん)