フェブキソスタットの作用点と相互作用 100回薬剤師国家試験問222,223
100回薬剤師国家試験 問222−223
46歳男性。体重90kg。足の親指が痛みだしたので、近医を受診したところ、痛風と診断されフェブキソスタット製剤が処方された。
問222
フェブキソスタットの作用点としての生体内代謝反応はどれか。1つ選びなさい。

問223
今回の処方薬との相互作用が問題となるものはどれか。1つ選びなさい。
1 アザチオプリン
2 テプレノン
3 イミプラミン塩酸塩
4 タムスロシン塩酸塩
5 ジゴキシン
★ 100回薬剤師国家試験 問222 解答解説
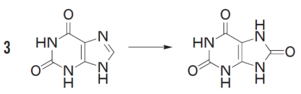
フェブキソスタットの作用点は3である。

痛風・高尿酸血症治療薬のうち、尿酸生成を抑制する作用を有するフェブキソスタット,トピロキソスタット,アロプリノールの作用機序は、キサンチンオキシダーゼを阻害し、プリン塩基から尿酸が生成する経路における、ヒポキサンチンからキサンチンを生成する反応、および、キサンチンから尿酸を生成する反応を阻害することである。

他の選択肢の反応について
◆ 1について

ピリミジン塩基の分解(異化代謝)において、ウラシルを還元してジヒドロウラシルを生成する反応である。
この反応はジヒドロピリミジンデヒドロゲナーゼ(ジヒドロウラシルデヒドロゲナーゼ)で触媒される。
ピリミジンヌクレオチドの分解については下記のリンク先を参照
ピリミジンヌクレオチドの分解(異化代謝)経路
ジヒドロピリミジンデヒドロゲナーゼ(DPD)は、5-フルオロウラシル(5-FU)の代謝酵素である。
TS-1(テガフール[5-FUのプロドラッグ]・ギメラシル・オテラシルカリウムの合剤)に含まれるギメラシルはDPDを選択的に競合阻害し、5-FUの代謝を抑制することで血中濃度を上昇させ抗腫瘍効果を増強する。
◆ 2について
ヒスチジンデカルボキシラーゼ(ヒスチジン脱炭酸酵素)の触媒により、ヒスチジンを脱炭酸してヒスタミンを生成する反応である。
補酵素はピリドキサールリン酸:PLP(ビタミンB6の活性型)である。

◆ 4について
カテコールアミンの生合成において、チロシン3-モノオキシゲナーゼ(チロシンヒドロキシラーゼ)の触媒により、チロシンをヒドロキシ化してL-ドパを生成する反応である。酵素の補酵素はテトラヒドロビオプテリンであり、活性化にFe2+も必要と考えられている。
◆ 5について
プリンの分解(異化代謝)において、アデノシンデアミナーゼ(ADA)の触媒により、アデノシンのアミノ基を加水分解してイノシンを生成する反応である。
なお、アデノシンデアミナーゼ(ADA)の欠損は重篤な免疫不全をきたす。
プリンヌクレオチドの分解については下記のリンク先を参照
プリンヌクレオチドの分解(異化代謝)経路
★ 100回薬剤師国家試験 問223 解答解説
フェブキソスタットとの相互作用が問題となるのは、
1のアザチオプリンである。
アザチオプリンとフェブキソスタットの相互作用については下記のリンク先を参照
アザチオプリン,メルカプトプリンとキサンチンオキシダーゼ阻害薬との相互作用

6−メルカプトプリン(ロイケリン)、または、
6−メルカプトプリンのプロドラッグのアザチオプリン(イムラン,アザニン)と、
キサンチンオキシダーゼを阻害する薬物との併用で、
6−メルカプトプリンの代謝が抑制されて血中濃度が上昇し、
骨髄抑制などの副作用のリスクが上昇する。
このことから、添付文書上では、
アザチオプリン(イムラン,アザニン)と
フェブキソスタット(フェブリク)は併用禁忌である。
関連問題
アザチオプリンとフェブキソスタットの相互作用 106回問220,221
★他サイトさんの解説へのリンク
100回問222,223(e-RECさん)