プリン塩基及び関連化合物の代謝経路 106回薬剤師国家試験問221
106回薬剤師国家試験 問220
45歳男性。175cm、55kg。過去に痛風発作を経験したことがあったが、その後、症状は現れておらず、治療をしていなかった。最近、職場の健康診断で尿酸値の異常を指摘され、近所のA病院を受診した。受診時の検査で、血清クレアチニン値は0.8mg/dL、血清尿酸値は9.0mg/dL、ASTは15 IU/L、ALTは18 IU/Lであった。
A病院の担当医は、以下の処方で薬物治療を開始することを検討した。
(処方)
フェブキソスタット錠10mg  1回1錠 (1日1錠)
1日1回 朝食後 14日分
その際、A病院の担当医がお薬手帳を確認したところ、B総合病院消化器内科から、潰瘍性大腸炎に対してプレドニゾロンとアザチオプリンが処方され、服用中であることが判明した。
問220
検討中の処方に関し、A病院の担当医から薬剤部の薬剤師に相談があった。薬剤師の回答として適切なのはどれか。1つ選びなさい。
1 そのまま処方して構いません。
2 フェブキソスタット錠を減量してください。
3 フェブキソスタット錠の規格を20mg錠に変更してください。
4 フェブキソスタット錠をアロプリノール錠に変更してください。
5 フェブキソスタット錠をベンズブロマロン錠に変更してください。
問221
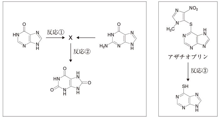
高尿酸血症・痛風治療薬の処方を扱うことが多いこの薬剤師は、プリン塩基及び関連化合物の代謝経路について図のとおり整理した。この図に関する記述のうち、正しいのはどれか。2つ選びなさい。
1 Xはヒポキサンチンである。
2 フェブキソスタットは反応@と反応Aを阻害する。
3 Xは反応Aで酸化されて尿酸になる。
4 反応Aの生成物は、尿素に変換されて尿中に排泄される。
5 この薬剤師が前問の回答をしたのは、フェブキソスタットにより反応Bが阻害され、アザチオプリンの血中濃度が上昇すると考えられたためである。

106回薬剤師国家試験 問220 解答解説
正解は選択肢5の
「フェブキソスタット錠をベンズブロマロン錠に変更してください。」である。
詳細は下記のリンク先を参照
アザチオプリンとフェブキソスタットの相互作用 106回問220
106回薬剤師国家試験 問221 解答解説
◆ 1〜4について
プリンヌクレオチドの分解(異化代謝)については下記のリンク先を参照
プリンヌクレオチドの分解(異化代謝)経路
設問のプリン塩基の代謝経路は下記の通り。

選択肢の記述の正誤は下記の通り。
1 × Xはヒポキサンチンである。
→ 〇 Xはキサンチンである。
2 〇 フェブキソスタットは反応@と反応Aを阻害する。
フェブキソスタットは非プリン型選択的キサンチンオキシダーゼ阻害薬である。
3 〇 Xは反応Aで酸化されて尿酸になる。
キサンチンがキサンチンオキシダーゼで酸化されて尿酸になる。
4 × 反応Aの生成物は、尿素に変換されて尿中に排泄される。
ヒトでは尿酸は尿素に変換されない。
尿酸は2/3が腎臓から、1/3が腸管から体外に排泄されると考えられている。
◆ 5について
設問のアザチオプリンの代謝については下記の通り。

選択肢5の記述の正誤について、
5 × この薬剤師が前問の回答をしたのは、フェブキソスタットにより反応Bが阻害され、アザチオプリンの血中濃度が上昇すると考えられたためである。
反応?は、プロドラッグのアザチオプリンがグルタチオン-S-トランスフェラーゼにより活性代謝物の6−メルカプトプリンになる反応だが、フェブキソスタットはこれを阻害しない。
アザチオプリンとフェブキソスタットの併用で問題になるのは、
フェブキソスタットによりキサンチンオキシダーゼが阻害されることで、6−メルカプトプリンの代謝が抑制されて血中濃度が上昇し、骨髄抑制等の副作用が増強することである。
関連問題
フェブキソスタットの作用点の反応式 100回問222,223
★他サイトさんの解説へのリンク
106回問220,221(e-RECさん)