ゾルピデムの窒素の塩基性 101回薬剤師国家試験問209の3
第101回薬剤師国家試験 問209の3
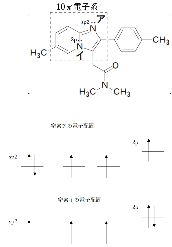
ゾルピデム酒石酸塩に関する記述の正誤を判定してみよう。

3 窒素原子イは、3つの窒素原子のうち最も塩基性が高い。
第101回薬剤師国家試験 問209の3 解答解説
3 × 窒素原子イは、3つの窒素原子のうち最も塩基性が高い。
→ 〇 窒素原子アは、3つの窒素原子のうち最も塩基性が高い。
下記の矢印で示す窒素はアミドの窒素であるため塩基性をほとんど示さない。

詳細は下記のリンク先を参照
アミドの窒素は塩基性を示さない 85回問14a
窒素イの非共有電子対はp軌道に収容され、環の芳香族性に寄与しているため、塩基性を示さない。
窒素アは芳香環の窒素だが、非共有電子対はsp2混成軌道に収容されてプロトンに供与可能なので塩基性を示す。

以上のことから、窒素原子アは、3つの窒素原子のうち最も塩基性が高いと考えられる。