シアノ基の電子求引とグアニジノ基の塩基性 106回薬剤師国家試験問104の4,5
第106回薬剤師国家試験 問104の4,5
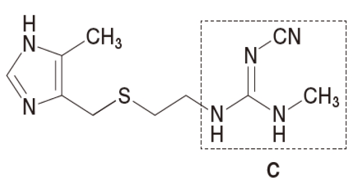
次の反応と生成物に関する記述の正誤を判定してみよう。

4 シアノ基は、電子供与性基である。
5 破線で囲んだ部分構造cは、グアニジンよりも高い塩基性をもつ。
第106回薬剤師国家試験 問104の4,5 解答解説

◆ 4について
4 × シアノ基は、電子供与性基である。
→ 〇 シアノ基は、電子求引性基である。
シアノ基(CN)は、比較的に強い電子求引性電子効果を与える。
=O,=NなどO,N,Sの不飽和結合を含む官能基の電子効果は下記の通り。
・sp3混成軌道の原子に対して電子求引(電子求引性誘起効果による)
・spおよびsp2混成軌道の原子に対して電子求引(電子求引性誘起効果と電子求引性共鳴効果による)
官能基の電子効果は下記のリンク先を参照
誘起効果・共鳴効果とは?
◆ 5について

5 × 破線で囲んだ部分構造cは、グアニジンよりも高い塩基性をもつ。
→ 〇 破線で囲んだ部分構造cは、グアニジンよりも低い塩基性をもつ。
グアニジンは強い塩基性を示す。
詳細は下記のリンク先を参照
グアニジン 共役酸の共鳴安定化と塩基性 104回問7
部分構造cでは、シアノ基(CN)の強い電子求引性電子効果により、グアニジノ基の窒素の電子密度が低下しているため、無置換のグアニジンに比べて塩基性は弱いと考えられる。
