酸性の強さの比較 106回薬剤師国家試験問102
第106回薬剤師国家試験 問102
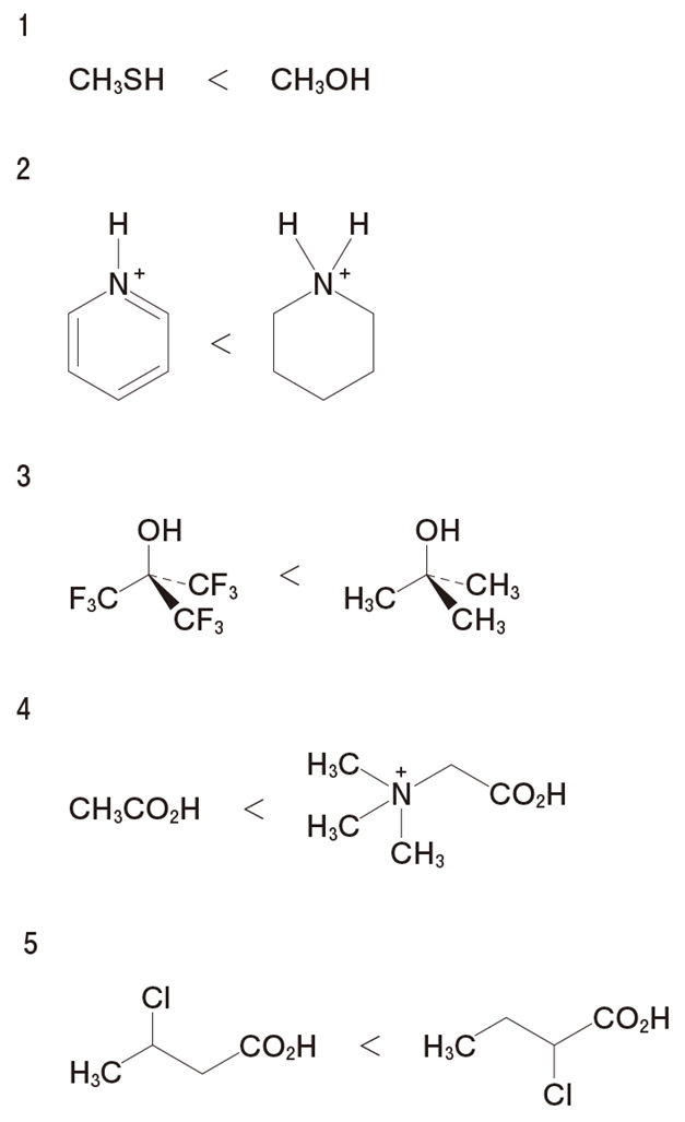
酸性の強さを比較したもののうち、正しいのはどれか。2つ選びなさい。ただし、第一解離のみを比較するものとする。

第106回薬剤師国家試験 問102 解答解説
◆ 1について

上記の酸性度の比較は誤りである。
酸性度の比較は、正しくは、
CH3SH > CH3OH
である。
詳細は下記のリンク先を参照
106回問102の1
◆ 2について

上記の酸性度の比較は誤りである。
酸性度の比較は、正しくは下記の通り。

詳細は下記のリンク先を参照
106回問102の2
◆ 3について

上記の酸性度の比較は誤りである。
酸性度の比較は、正しくは下記の通り。

詳細は下記のリンク先を参照
106回問102の3
◆ 4について

上記の酸性度の比較は正しい。
詳細は下記のリンク先を参照
106回問102の4
◆ 5について

上記の酸性度の比較は正しい。
詳細は下記のリンク先を参照
106回問102の5
★他サイトさんの解説へのリンク
第106回問102(e-RECさん)