関係式 102回薬剤師国家試験問1
102回薬剤師国家試験 問1
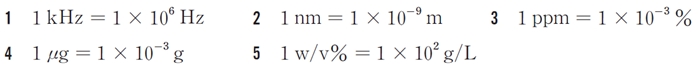
次の関係式のうち、正しいのはどれか。1つ選びなさい。

102回薬剤師国家試験 問1 解答解説
SI接頭語(桁を表す接頭語)の一覧は
下記のリンク先を参照
SI接頭語の一覧
◆ 1について
1 × 1kHz = 1× 106Hz
→ 〇 1kHz = 1× 103Hz
なお、Hz(ヘルツ) は周波数・振動数を表すSI組み立て単位であり、
1Hz は 1秒間に1回の周波数・振動数と定義され、
1Hz = 1s−1 で表される。
◆ 2について
2 〇 1nm = 1× 10−9m
n=10−9 nm である。
◆ 3について
3 × 1ppm = 1× 10−3%
→ 〇 1ppm = 1× 10−4%

ppm,ppb,pptについては下記のリンク先を参照
ppm,ppb,pptとは 94回問16c
◆ 4について
4 × 1μg = 1× 10−3g
→ 〇 1μg = 1× 10−6g
◆ 5について
5 × 1w/v% = 1× 102g/L
→ 〇 1w/v% = 1×10g/L
質量対容量百分率(w/v%)は、
溶液100mL中に含まれる溶質の質量(g)を表し、
1w/v% = 1g/100mL である。
よって、
1w/v% = 1g/100mL = 1×10g/L
である。
★ 他サイトさんの解説リンク
102回問1(e-RECさん)