102回薬剤師国家試験問223 反応速度と化学量論係数
102回薬剤師国家試験 問223
グルコースとアミノ酸を混合した場合、化学反応が起こることがある。反応速度定数をkとする@のような反応において、反応速度νがAのように表されるとき、以下の記述のうち正しいのはどれか。2つ選びなさい。

ただしA〜Dは物質を、a〜dは化学量論係数を表す。
また、[A]〜[D]はそれぞれA〜Dの濃度を表すものとする。
1 p=a,q=b の関係式が常に成り立つとは限らない。
2 p,qは必ず正の整数である。
3 各物質量の変化に注目すると下のような関係式が成り立つ。
4 kは反応条件によって変化するが、反応物の濃度には無関係な値である。
102回薬剤師国家試験 問223 解答解説
◆ 1,2について
1 〇 p=a,q=b の関係式が常に成り立つとは限らない。
2 × p,qは必ず正の整数である。
→ 〇 p,qは正の整数であるとは限らず、0や分数,負の値の場合もある。
@の反応の反応速度νについて、
A式が成り立つとする。

Aの反応速度式について、
p+qの値は反応次数と呼ばれる。
反応次数について、
p=a,q=bになるとは限らず、
p+q = a+bになるとも限らない。
また、p,qは正の整数であるとは限らず、
0や分数、負の値の場合もある。
◆ 3について
3 × @の各物質量の変化に注目すると下のような関係式が成り立つ。
正しくは、
である。
横軸に時間t,縦軸に反応物の濃度または生成物の濃度を取ったグラフについて、
任意の時間におけるグラフの接線の傾きは、
その時間における反応速度νに等しい。
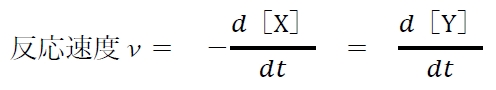
例えば、
X→Y
という反応について、
反応速度νは次式で表される。


以上を踏まえると、
a・A + b・B → c・C + d・D
の反応速度について、
次式が成り立つ。

◆ 4について
4 〇 kは反応条件によって変化するが、反応物の濃度には無関係な値である。
反応速度定数kは、
温度や圧力などの反応が起こる環境条件に依存して変化するが、
反応物の濃度には依存しない。
★ 他サイトさんの解説リンク
102回問93(e-RECさん)