バラシクロビルの構造と性質 104回薬剤師国家試験問213
104回薬剤師国家試験 問213
バラシクロビルに関する記述のうち、正しいのはどれか。2つ選びなさい。

1 アシクロビルの脂溶性を増大させることを意図して創出されたプロドラッグである。
2 アシクロビルとL-バリンがエステル結合を介して連結した構造をもつ。
3 生体内に存在する酵素の作用により、波線部aにおいて結合が切断される。
4 生体内でbに示す酸素原子がリン酸化されることによって薬理活性を示す。
5 小腸のペプチドトランスポーターを介して吸収される。
104回薬剤師国家試験 問213 解答解説

バラシクロビル(バルトレックス)は、アシクロビルとL-バリンがエステル結合した化合物で、経口投与で消化管から吸収された後、主に肝臓のエステラーゼによりエステル結合が加水分解されてアシクロビルとなるプロドラッグである。
バラシクロビルはバリンエステルのプロドラッグとすることにより、消化管からの吸収において小腸のペプチドトランスポーターに認識されるようになり、アシクロビルと比較して経口吸収性が増大している。
◆ 1,5について
1 × アシクロビルの脂溶性を増大させることを意図して創出されたプロドラッグである。
5 〇 小腸のペプチドトランスポーターを介して吸収される。
バラシクロビルは、アシクロビルのバリンエステルとすることで、小腸のペプチドトランスポーターを介して吸収されるようになり、経口吸収性が高まることを意図している。
◆ 2について
2 〇 アシクロビルとL-バリンがエステル結合を介して連結した構造をもつ。
アミノ酸のD体とL体については下記のリンク先を参照
アミノ酸のD体L体
生体のたんぱく質を構成するL-アミノ酸のα炭素の絶対配置について、L-システイン以外はS配置であり、L-システインのみR配置である。
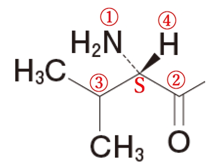
下記の通り、バラシクロビルのバリンは、α炭素の絶対配置がSなのでL体である。

CのHが手前にあり、@ABが時計回りに並んでいるのでSである。
◆ 3について
3 × 生体内に存在する酵素の作用により、波線部aにおいて結合が切断される。
バラシクロビルは消化管から吸収された後、肝臓のエステラーゼの作用でエステル結合が加水分解され、抗ウイルス作用を示すアシクロビルとバリンになるプロドラッグである。
切断される結合は下記の点線で示すエステル結合である。

◆ 4について
4 × 生体内でbに示す酸素原子がリン酸化されることによって薬理活性を示す。
アシクロビルは、単純ヘルペスウイルスあるいは水痘・帯状疱疹ウイルスが感染した細胞内に入ると、ウイルス性チミジンキナーゼにより一リン酸化された後、細胞性キナーゼによりリン酸化され、アシクロビル三リン酸(ACV-TP)となる。ACV-TPは正常基質であるdGTPと競合してウイルスDNAポリメラーゼによりウイルスDNAの3’末端に取り込まれると、ウイルスDNA鎖の伸長を停止させ、ウイルスDNAの複製を阻害する。
アシクロビルは2´-デオキシグアノシンの類似体である。
下記は2´-デオキシグアノシンの構造

2´-デオキシグアノシンは5´位のヒドロキシ基がリン酸化されてヌクレオチドとなる。
このことから、アシクロビルの構造でリン酸化されるのは、下記の矢印で示す酸素だと考えられる。

◆ バラシクロビルの利点
バラシクロビルはアシクロビルよりも消化管からの吸収が良い。
そのことから、バラシクロビルはアシクロビルに比べて1日の服用回数が少なくなっている。
下記は成人の帯状疱疹に対する用法用量である。
・アシクロビル(ゾビラックス):
通常、成人には1回アシクロビルとして800mgを1日5回経口投与する。
・バラシクロビル(バルトレックス):
成人にはバラシクロビルとして1回1000mgを1日3回経口投与する。
★他サイトさんの解説へのリンク
第104回問212、213(e-RECさん)