スフィンゴシン-1-リン酸(S1P)とフィンゴリモド 108回薬剤師国家試験問104
108回薬剤師国家試験 問104
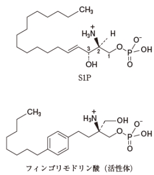
多発性硬化症治療薬のフィンゴリモドは、体内でスフィンゴシンキナーゼによって立体選択的にリン酸化されて活性体となり、スフィンゴシン-1-リン酸(S1P)受容体アゴニスト活性を発揮する。次の記述のうち、正しいのはどれか。2つ選びなさい。

1 S1Pの2位の絶対配置は、Sである。
2 フィンゴリモドは、キラル化合物である。
3 フィンゴリモドリン酸(活性体)は、R体である。
4 S1Pとフィンゴリモドリン酸は、両親媒性である。
5 S1P は、グリセロリン脂質である。
108回薬剤師国家試験 問104 解答解説
◆ 1について
1 〇 S1Pの2位の絶対配置は、Sである。

2位の絶対配置について、
Cが奥にあり、@ABが反時計回りに並んでいるのでSである。
◆ 2について
2 × フィンゴリモドは、キラル化合物である。
→ 〇 フィンゴリモドは、キラル化合物ではない。

フィンゴリモドは不斉中心がないので、
アキラルな化合物である。
◆ 3について
3 × フィンゴリモドリン酸(活性体)は、R体である。
→ 〇 フィンゴリモドリン酸(活性体)は、S体である。

フィンゴリモドリン酸(活性体)の不斉中心について、
設問の図は優先順位がCの置換基が紙面上にある書き方なので、
絶対配置がわかりやすいように、
Cが奥になるように書き直すと下記のようになる。
は、S体である.jpg)
CのHが奥にあり、@ABが反時計回りに並んでいるのでSである。
◆ 4について
4 〇 S1Pとフィンゴリモドリン酸は、両親媒性である。

両親媒性物質とは、水にも油にもなじむ物質のことであり、
構造中に親水性基と疎水性基(親油性基)の両方を有するものである。
S1Pとフィンゴリモドリン酸は、
親水性基としてヒドロキシ基,リン酸基,アミノ基を有し、
疎水性基として炭化水素基を有するので、
両親媒性である。
◆ 5について
S1Pは、スフィンゴシンを基本骨格とするリン脂質なので、
スフィンゴシンリン脂質である。
なお、グリセロリン脂質とは、グリセロールを基本骨格とするリン脂質である。
★他サイトさんの解説へのリンク
108回問104(e-RECさん)