アシクロビル、バラシクロビル、アメナメビル 106回薬剤師国家試験問209
106回薬剤師国家試験 問209
65歳女性。2日ほど前から、下腹部の痛みを感じ、皮疹が発現したため、かかりつけ医を受診したところ、帯状疱疹と診断された。以下の処方が出され、処方箋を持って薬局を訪れた。面談で「1日5回飲むのは大変で飲み忘れると思う」と訴えがあった。
(処方)
アシクロビル錠400mg 1回2錠(1日10錠)
1日5回 朝食後・昼食後・おやつ時・夕食後・就寝前 7日分
この患者は、この薬局をかかりつけとして日頃から利用していたので、薬歴を確認したところ、3年前にも帯状疱疹でバラシクロビル塩酸塩錠500mgを服用しており、1日3回服用でもアドヒアランスが良好ではなかったことが判明した。そこで、薬剤師は医師に連絡をとり、アドヒアランスが不良となる可能性があることを伝え、1日1回のアメナメビル錠への変更を提案したところ、承諾を得たので、以下の処方に変更し、患者に服薬指導した。
(変更後の処方)
アメナメビル錠200mg 1回2錠(1日2錠)
1日1回 朝食後 7日分
問209
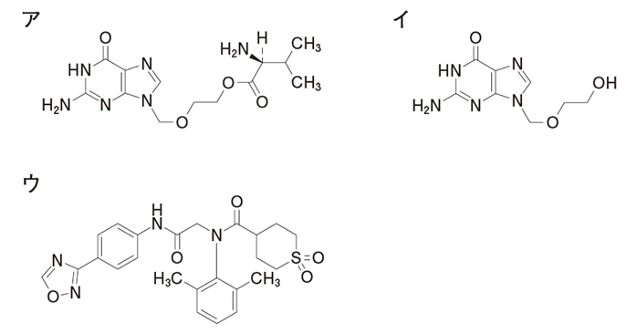
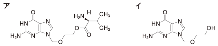
次のア〜ウは、この患者に対して検討されたアシクロビル、バラシクロビル、アメナメビルの構造式のいずれかを示す。これらの薬物に関する記述のうち、誤っているのはどれか。1つ選びなさい。

1 アはイのプロドラッグであり、イに比べて1日の服用回数が少ない。
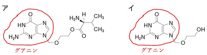
2 ア及びイの構造に含まれる核酸塩基はグアニンである。
3 ア〜ウはすべて塩基性官能基をもつ。
4 ウはDNA複製の基質として取り込まれ、ウイルスDNA鎖の伸長を阻害する。
5 今回最初に処方された薬物イが最終的にウに変更された。
106回薬剤師国家試験 問209 解答解説
◆ 1について

1 〇 アはイのプロドラッグであり、イに比べて1日の服用回数が少ない。
アはバラシクロビルであり、
イのアシクロビルとL-バリンがエステル結合した化合物で、経口投与で消化管から吸収された後、主に肝臓のエステラーゼによりエステル結合が加水分解されてアシクロビルとなるプロドラッグである。

バラシクロビルはバリンエステルのプロドラッグとすることにより、消化管からの吸収において小腸のペプチドトランスポーターに認識されるようになり、アシクロビルと比較して経口吸収性が増大している。
そのことから、バラシクロビルはアシクロビルに比べて1日の服用回数が少なくなっている。
下記は成人の帯状疱疹に対する用法用量である。
・アシクロビル(ゾビラックス):
通常、成人には1回アシクロビルとして800mgを1日5回経口投与する。
・バラシクロビル(バルトレックス):
成人にはバラシクロビルとして1回1000mgを1日3回経口投与する。
◆ 2について
2 〇 ア及びイの構造に含まれる核酸塩基はグアニンである。


◆ 3について
3 〇 ア〜ウはすべて塩基性官能基をもつ。
アとイはグアニンまたはアミノ基の窒素が塩基性を示す。
ウ(アメナメビル)は1,2,4-オキサジアゾールの窒素が塩基性を示す。


◆ 4について
4 × ウはDNA複製の基質として取り込まれ、ウイルスDNA鎖の伸長を阻害する。
→ 〇 アとイはDNA複製の基質として取り込まれ、ウイルスDNA鎖の伸長を阻害する。
抗ウイルス薬のうち、天然のヌクレオシドを基質とする酵素を“競合的に”阻害する薬物、または、DNA/RNA複製の基質として誤って取り込まれてウイルスDNA/RNA鎖の伸長を阻害する薬物について、その構造的特徴として、核酸塩基またはヌクレオシドと類似した構造を有する核酸アナログである。
ウ(アメナメビル)は構造からして核酸アナログではない。

アメナメビル(アメナリーフ)は、ヘルペスウイルスのヘリカーゼ・プライマーゼ複合体のDNA依存的ATPase活性、ヘリカーゼ活性及びプライマーゼ活性を阻害することにより、ヘルペスウイルスのDNA複製を阻害する。
一方、核酸塩基のグアニン構造を有するアシクロビルは核酸アナログである。
アシクロビルは、単純ヘルペスウイルスあるいは水痘・帯状疱疹ウイルスが感染した細胞内に入ると、ウイルス性チミジンキナーゼにより一リン酸化された後、細胞性キナーゼによりリン酸化され、アシクロビル三リン酸(ACV-TP)となる。ACV-TPは正常基質であるdGTPと競合してウイルスDNAポリメラーゼによりウイルスDNAの3’末端に取り込まれると、ウイルスDNA鎖の伸長を停止させ、ウイルスDNAの複製を阻害する。
◆ 5について
5 〇 今回最初に処方された薬物イが最終的にウに変更された。
アメナメビル(アメナリーフ)の帯状疱疹に対する用法用量は下記の通りで1日1回でよい。
通常、成人にはアメナメビルとして1回400mgを1日1回食後に経口投与する。
★他サイトさんの解説へのリンク
第106回問208,209(e-RECさん)