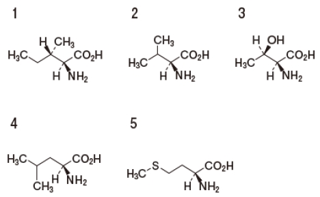
108回薬剤師国家試験問6 (2S)-2-Amino-4-methylpentanoic acidの構造式
108回薬剤師国家試験 問6
日本薬局方収載医薬品の化学名(2S)-2-Amino-4-methylpentanoic acid に対し、正しい構造式はどれか。1つ選びなさい。

108回薬剤師国家試験 問6 解答解説
(2S)-2-Amino-4-methylpentanoic acidの構造式は4である。

(2S)-2-Amino-4-methylpentanoic acidは、
pentanoic acid(炭素数5のカルボン酸)を母体とし、
母体の2位にアミノ基,4位にメチル基が置換し、
2位の不斉中心の立体がSである。
母体が直鎖状のカルボン酸(またはカルボン酸誘導体)の場合の母体の炭素番号の付け方は、
カルボキシ基のC=OのCを1位とする。
-2-Amino-4-methylpentanoic acid に対し、正しい構造式.jpg)
不斉中心の絶対配置の判別の仕方については、下記のリンク先を参照
不斉中心の絶対配置の判別について
◆ 1について
1は(2S, 3S)- 2 - Amino - 3 -methylpentanoic acid である。
- 2 - Amino - 3 -methylpentanoic acid 108回.jpg)

◆ 2について
2は(2S)- 2 - Amino - 3 -methylbutanoic acid である。
- 2 - Amino - 3 -methylbutanoic acidの構造 108回.jpg)
◆ 3について
3は(2S, 3R)- 2 - Amino - 3 -hydroxybutanoic acid である。
- 2 - Amino - 3 -hydroxybutanoic acidの構造 108.jpg)
◆ 5について
5は(2S)-2-Amino-4-(methylsulfanyl) butanoic acid である。
-2-Amino-4-(methylsulfanyl) butanoic acidの構造 108.jpg)
★他サイトさんの解説へのリンク
108回問6(e-RECさん)