不斉中心の立体配置がR配置であるのはどれか 103回薬剤師国家試験問7
第103回薬剤師国家試験 問7
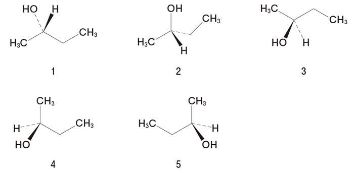
不斉中心の立体配置がR配置であるのはどれか。

第103回薬剤師国家試験 問7 解答解説
不斉中心の絶対配置の判別の仕方については、下記のリンク先を参照
不斉中心の絶対配置の判別について

★参考外部サイトリンク
R,S 絶対配置(生命系のための理工学基礎さん)
◆ 1について

CのHが手前にあり、@ABが時計回りに並んでいるのでSである。
◆ 2について

CのHが手前にあり、@ABが時計回りに並んでいるのでSである。
◆ 3について

CのHが奥にあり、@ABが反時計回りに並んでいるのでSである。
◆ 4について

CのHが奥にあり、@ABが反時計回りに並んでいるのでSである。
◆ 5について

CのHが奥にあり、@ABが時計回りに並んでいるのでRである。
★他サイトさんの解説へのリンク
第103回問7(e-RECさん)