日本薬局方に収載されているエフェドリンの構造はどれか 97回薬剤師国家試験問101
第97回薬剤師国家試験 問101
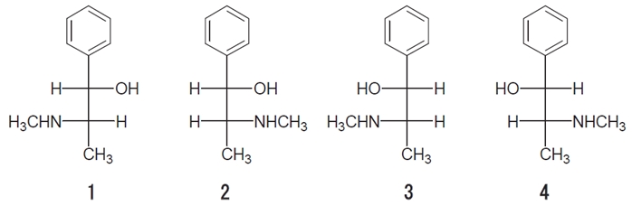
日本薬局方に収載されているエフェドリン((1R ,2S )-2-methylamino-1-phenylpropan-1-ol)の正しい構造はどれか。1つ選びなさい。

第97回薬剤師国家試験 問101 解答解説

エフェドリン((1R ,2S )-2-methylamino-1-phenylpropan-1-ol)は3である。
以下詳細
不斉中心の絶対配置の判別の仕方については、下記のリンク先を参照
不斉中心の絶対配置の判別について
設問の構造式の描き方をフィッシャー投影式と呼ぶ。
フィッシャー投影式では、左右の線は紙面から手前に伸びる結合を示し、端の上下の線は紙面から奥側に伸びる結合を示し、端以外の上下の線は紙面上を伸びる結合を示す。
★参考外部サイトリンク
R,S 絶対配置(生命系のための理工学基礎さん)
フィッシャー投影式|RS絶対配置の決定(生命系のための理工学基礎さん)
◆ 1について

((1S ,2S )-2-methylamino-1-phenylpropan-1-ol)
・1位について

CのHが手前にあり、@ABが時計回りに並んでいるのでSである。よって、1S
・2位について

CのHが手前にあり、@ABが時計回りに並んでいるのでSである。よって、2S
◆ 2について

((1S ,2R )-2-methylamino-1-phenylpropan-1-ol)
・1位について

CのHが手前にあり、@ABが時計回りに並んでいるのでSである。よって、1S
・2位について

CのHが手前にあり、@ABが反時計回りに並んでいるのでRである。よって、2R
◆ 3について

((1R ,2S )-2-methylamino-1-phenylpropan-1-ol)
・1位について

CのHが手前にあり、@ABが反時計回りに並んでいるのでRである。よって、1R
・2位について

CのHが手前にあり、@ABが時計回りに並んでいるのでSである。よって、2S
◆ 4について

((1R ,2R)-2-methylamino-1-phenylpropan-1-ol)
・1位について

CのHが手前にあり、@ABが反時計回りに並んでいるのでRである。よって、1R
・2位について

CのHが手前にあり、@ABが反時計回りに並んでいるのでRである。よって、2R
★他サイトさんの解説へのリンク
第97回問101(e-RECさん)