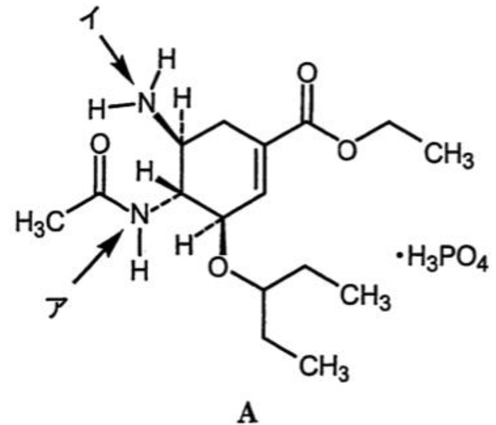
オセルタミビルの3つのキラル中心の立体化学 95回薬剤師国家試験問11b
第95回薬剤師国家試験 問11b
オセルタミビルリン酸塩Aに関する記述の正誤を判定してみよう。

b Aに存在する3つのキラル中心の立体化学はすべてRである。
第95回薬剤師国家試験 問11b
b × Aに存在する3つのキラル中心の立体化学はすべてRである。
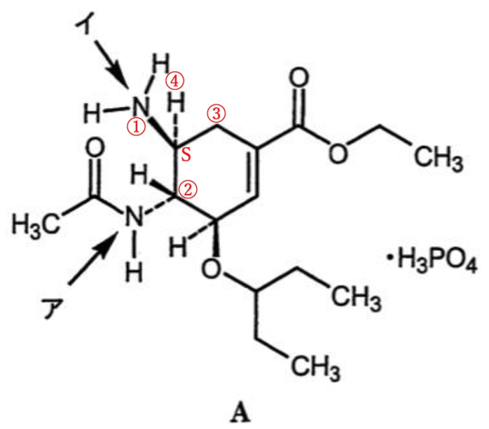
→ 〇 Aに存在する3つのキラル中心の立体化学は(3R,4R,5S)である。
.jpg)
不斉中心の絶対配置の判別の仕方については、下記のリンク先を参照
不斉中心の絶対配置の判別について
★参考外部サイトリンク
R,S 絶対配置(生命系のための理工学基礎さん)
シクロヘキセンの3,4,5位の炭素が不斉中心であり、それぞれの絶対配置は下記の通り。
・3位はR

3位の不斉炭素は、
CのHが奥にあり、@ABが時計回りに並んでいるのでRである。
・4位はR

4位の不斉炭素は、
CのHが手前にあり、@ABが反時計回りに並んでいるのでRである。
原子番号の大きい方が優先順位は高くなる。OとNでは、Oの方が原子番号は大きいので優先順位が高い。
・5位はS

5位の不斉炭素は、
CのHが奥にあり、@ABが反時計回りに並んでいるのでSである。