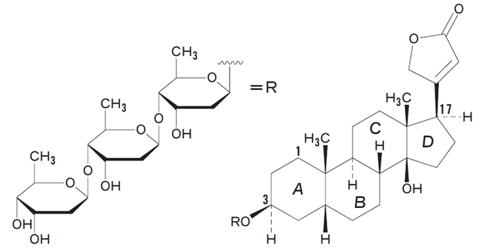
ジギトキシン ステロイド骨格のA/B環、B/C環、及びC/D環のcis,trans 99回薬剤師国家試験問109の4
第99回薬剤師国家試験 問109の4
強心配糖体ジギトキシンに関する記述の正誤を判定してみよう。

4 ステロイド骨格のA/B環、B/C環、及びC/D環はいずれもtrans配置である。
99回薬剤師国家試験 問109の4 解答解説

4 × ステロイド骨格のA/B環、B/C環、及びC/D環はいずれもtrans 配置である。
→ 〇 ステロイド骨格のA/B環はcis、B/C環はtrans、C/D環はcis配置である。
ステロイドの環と環の結合のcis,transの見分け方は以下の通り。
・環と環のつなぎ目の2つの水素または置換基がcisならば、環と環の結合はcisである。

・環と環のつなぎ目の2つの水素または置換基がtransならば、環と環の結合はtransである。

設問のジギトキシンのステロイド骨格は、
A/Bはcis、B/Cはtrans、C/Dはcisである。

なお、強心配糖体のステロイド骨格は、共通して、
A/Bシス、かつ、C/Dシスであることが特徴的であり、
特に、C/Dシスであることは他のステロイドアナログと異なる点である。