106回薬剤師国家試験問107 NMRスペクトルのオルトカップリング
106回薬剤師国家試験 問107
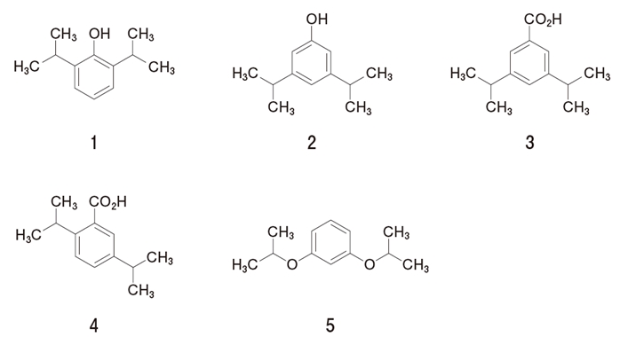
図は、ある化合物の1H-NMR スペクトル(400MHz、CDCl3、基準物質はテトラメチルシラン)を表したものである。この化合物の構造式として正しいのはどれか。1つ選びなさい。
なお、拡大図A、B、Cの拡大率はそれぞれ異なる。
また、ウのシグナルは重水を添加することにより消失する。


106回薬剤師国家試験 問107 解答解説
正解は1である。

以下、詳細
化学シフト7ppm前後のエとオのシグナルより、
芳香環のHが計3つあり、
そのうちの2つは等価で、
残り1つは等価でないものが存在すると考えられる。
この時点で1,2,3に絞られる。

芳香環プロトンのシグナルのカップリング(スピン-スピン結合)の様子を見ると、
積分比1のエのシグナルは3つに“大きく“分裂しているため(J値が大きいため)、
2つのプロトンとオルトカップリングしていると考えられる。
積分比2のオのシグナルは2つに“大きく“分裂しているため、
1つのプロトンとオルトカップリングしていると考えられる。

メタカップリングではこれほど大きく分裂しないと考えられる
(メタカップリングではJ値が小さい)。
ベンゼン環プロトン同士のカップリングについては、
下記のリンク先を参照
ベンゼン環プロトン同士のカップリング
これより、1が正解だと考えられる
化合物中の各水素とシグナルの対応は下記の通り。

以下、他の情報による絞り込みについて解説。
◆ 重水添加によるシグナルの消失はOHやNHの存在を表す
「ウのシグナルは重水を添加により消失した」ことから、
OHやNHのようにヘテロ原子に直接結合するHの存在が考えられる。
このことから、5は外れる。

◆ カルボキシ基の化学シフトは10〜13ppm
一般に、COOHのHのシグナルは10〜13ppmに現れる。
設問のスペクトルで10〜13ppmにシグナルは無いので、
COOHを有する3,4は外れる。
◆ 置換基の電子効果によるベンゼン環プロトンの化学シフトの変動
ベンゼン環プロトンの化学シフトから置換基の種類を絞れることがある。
芳香環の置換基の電子効果によるプロトンの化学シフトの変動については、
下記のリンク先を参照
芳香環の置換基の電子効果によるプロトンの化学シフトの変動
設問のベンゼン環プロトンの化学シフトは7.26ppmより高磁場側にある。

1,2,5は置換基の電子供与性電子効果により、
ベンゼン環プロトンの化学シフトは7.26ppmから−へ(高磁場側、低周波数側へ)変動すると考えられる。

3,4はカルボキシ基の強い電子求引性電子効果により、
ベンゼン環プロトンの化学シフトは7.26ppmから+へ(低磁場側、高周波数側へ)変動すると考えられる。

★他サイトさんの解説へのリンク
第106回問107(e-RECさん)