C(=O)-CHのHと−O−CHのHの化学シフト値の違い 96回薬剤師国家試験問30
96回薬剤師国家試験 問30
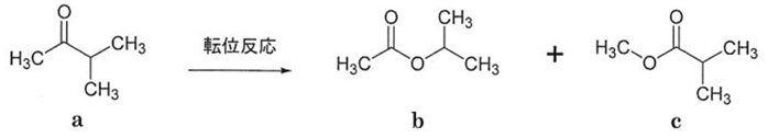
ケトンaに対して転位をともなう酸化反応を行ったところ、エステルbとcが得られた。

図A〜Cはこの反応の原料及び生成物の1H-NMRスペクトル ( 500 MHz、CDCl3 ) である。
化合物とスペクトルを正しく組み合わせなさい。

96回薬剤師国家試験 問30 解答解説
正解
図A=化合物b
図B=化合物c
図C=化合物a
本問では次の(1)(2)の2つのことがポイントとなるので覚えておこう。
(1) −C(=O)−CHのH(カルボニルのα位のH)の化学シフトは2〜3ppm前後

(2) −O−CHのHの化学シフトは4〜5ppm前後
のHの化学シフト値.jpg)
◆ 図A
図Aは下記の通りbが該当する。

◆ 図B
図Bは下記の通りcが該当する。

◆ 図C
図Cは下記の通りaが該当する。
