イブプロフェンの1H-NMR 97回薬剤師国家試験問108
97回薬剤師国家試験 問108
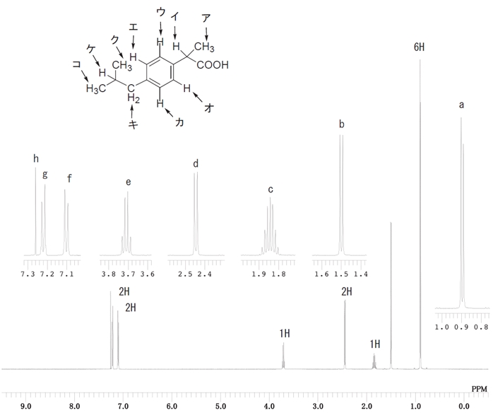
図は日本薬局方医薬品イブプロフェン(ラセミ体)の1H-NMR スペクトル(500MHz, CDCl3)と部分拡大図である。
ピークhはCDCl3に含まれる残留CHCl3 で、これを7.26 ppmとして化学シフトを示している。
次の記述のうち、正しいのはどれか。1つ選びなさい。

1 拡大図中のピークaは、アとクがそれぞれシングレット(3H分)のシグナルとして観測されたものである。
2 拡大図中のピークbはコのシグナルで、隣接メチンプロトンであるケとのカップリングによりダブレットとして観測されている。
3 拡大図中のピークcに対応するプロトンはイである。
4 拡大図中のピークeに対応するプロトンはケである。
5 拡大図中のピークf、gは、ウ、エ、オ、カのシグナルである。
97回薬剤師国家試験 問108 解答解説
各プロトンのシグナルの対応は下記の通り。

◆ 1について
1 × 拡大図中のピークaは、アとクがそれぞれシングレット(3H分)のシグナルとして観測されたものである。
→ 〇 ピークaは、クとコが6H分のダブレットとして観測されたものである。

◆ 2について
2 × 拡大図中のピークbはコのシグナルで、隣接メチンプロトンであるケとのカップリングによりダブレットとして観測されている。
→ 〇 ピークbはアのシグナルで、隣接メチンプロトンであるイとのカップリングによりダブレットとして観測されている。

◆ 3について
3 × 拡大図中のピークcに対応するプロトンはイである。
→ 〇 ピークcはケのシグナルで、ク,コ,キとのカップリングにより多重線(マルチプレット)として観測されている。
 97回問108.jpg)
◆ 4について
4 × 拡大図中のピークeに対応するプロトンはケである。
→ 〇 ピークeはイのシグナルで、アとのカップリングにより四重線(カルテット)として観測されている。
 97回問108.jpg)
◆ 5について
5 〇 拡大図中のピークf、gは、ウ、エ、オ、カのシグナルである。
7〜8ppm前後の2つの2Hの二重線は、
2つの異なる置換基が互いにパラ位で置換した1,4−二置換ベンゼンのプロトンのシグナルである。
-二置換ベンゼン 97回問108.jpg)
★他サイトさんの解説へのリンク
第97回問108(e-RECさん)