電子移動を示す矢印で記した機構で主に進行するか 100回薬剤師国家試験問104
第100回薬剤師国家試験 問104
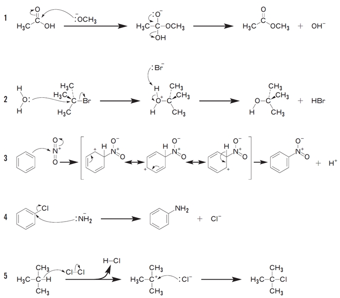
下記の各反応において、電子移動を示す矢印(細い矢印)で記した機構が主となって、実際に進行し生成物が得られるか判定してみよう。

第100回薬剤師国家試験 問104 解答解説
◆ 1について
反応1は起こらない。
酢酸とメトキシドイオン(CH3O:−)との反応では、
酢酸が酸で、メトキシドイオンが塩基となる酸塩基反応が進行する。
詳細は下記のリンク先を参照
100回問104の1の解説へ
◆ 2について

反応2は、第3級ハロゲン化アルキルを基質とし、
H2Oを求核剤としてSN2反応が進むよう描かれているが、
これは進行しないと考えられる。
理由として、第3級ハロゲン化アルキルは反応中心炭素の立体障害が大きく、求核剤がアクセスできないことが挙げられる。
第3級ハロゲン化アルキルを基質として求核置換反応が起こるとすれば、
SN1の機構で進行すると考えられる。
SN1とSN2の基質と反応性の関係については
下記のリンク先を参照
SN1・SN2の基質の構造と反応性 83回問7c
◆ 3について
3の反応は実際に進行すると考えられる。
詳細は下記のリンク先を参照
100回問104の3の解説へ
◆ 4について
反応4は、ハロゲン化アリール(Ar−X)であるクロロベンゼンを基質とするSN2反応であるが、
これは起こりにくい。
芳香族求核置換反応に関する問題である。
新コアカリキュラムでは、芳香族求核置換反応はアドバンストの内容になっている。
詳細は下記のリンク先を参照
100回問104の4の解説へ
◆ 5について

設問はアルカンのハロゲン化であるが、設問の図の機構では進行しない。
アルカンのラジカル化はラジカル中間体を経る機構で進行しやすい。
ラジカルハロゲン化の機構については下記のリンク先を参照
アルカンのラジカルハロゲン化 第88回問11a
★他サイトさんの解説へのリンク
第100回問104(e-RECさん)