87回薬剤師国家試験問11 ハロゲン化アリールの反応性,ニトロニウムイオンによる芳香族のニトロ化
87回薬剤師国家試験 問11
化学反応に関する記述のうち,正しいものはどれか。
a 求核試薬に対する反応性は,ハロゲン化アルキルとハロゲン化アリールでは,一般に大きな差がある。
b エステルは,塩基水溶液では加水分解されても酸水溶液では加水分解されない。
c ニトロニウムイオンによる芳香族化合物のニトロ化は,求電子置換反応である。
d メルカプト基をもつ化合物は,還元によってジスルフィド結合をもつ化合物に変換することができる。
第87回薬剤師国家試験 問11 解答解説
◆ aについて
a 〇 求核試薬に対する反応性は,ハロゲン化アルキルとハロゲン化アリールでは,一般に大きな差がある。
一般に、ハロゲン化アリールは求核試薬と反応しにくい。
詳細は下記のリンク先を参照
ハロゲン化アリールは求核置換反応が不活性 83回問7d
◆ bについて
b × エステルは,塩基水溶液では加水分解されても酸水溶液では加水分解されない。
→ 〇 エステルは,塩基水溶液でも酸水溶液でも加水分解される。
詳細は下記のリンク先を参照
エステルの加水分解 酸性条件と塩基性条件の違い 84回問12b
◆ cについて
c 〇 ニトロニウムイオンによる芳香族化合物のニトロ化は,求電子置換反応である。
芳香族求電子置換反応の反応機構については下記のリンク先を参照
芳香族化合物の求電子置換反応の反応機構 89回問5c
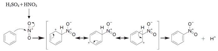
芳香族化合物のニトロ化の流れは下記の通り。
発煙硝酸(濃硝酸の1種)と濃硫酸を反応させると、
硝酸が硫酸によりプロトン化され、
その後、脱水が起きてニトロニウムイオン(+NO2)を生成する。
次いで、電子豊富な芳香環の1つの炭素に対して求電子剤のニトロニウムイオンが付加してカルボカチオン中間体を生成し、
次に同じ炭素から水素がプロトンとして外れ、
結果、芳香環の炭素の1つにおいて水素とNO2が置換したものが生成する。

◆ dについて
d × メルカプト基をもつ化合物は,還元によってジスルフィド結合をもつ化合物に変換することができる。
→ 〇 メルカプト基をもつ化合物は,酸化によってジスルフィド結合をもつ化合物に変換することができる。
詳細は下記のリンク先を参照
87回問11d