シプロヘプタジン塩酸塩水和物の合成法 94回薬剤師国家試験問13
第94回薬剤師国家 問13
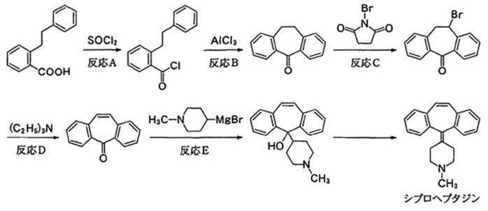
次の反応式は、日本薬局方医薬品シプロヘプタジン塩酸塩水和物の合成法の1つについて、その一部分を示したものである。この合成法に関する記述の正誤を判定してみよう。

a 反応Aは、二酸化イオウと塩化水素が発生するラジカル反応である。
b 反応Bは、芳香族求電子置換反応である。
c 反応Cは、ベンジル位における付加反応である。
d 反応Dは、脱離反応であり、(E)-アルケンを与える。
e 反応Eの生成物には、不斉炭素が存在する。
第94回薬剤師国家 問13 解答解説
◆ aについて

a × 反応Aは、二酸化イオウと塩化水素が発生するラジカル反応である。
酸塩化物の合成法は、
カルボン酸に対して、
塩化チオニル(SO2Cl),塩化ホスホリル(POCl3),五塩化リン(PCl3),塩化オキザリル(ClCOCOCl)などの塩素化剤を反応させる。
反応Aでは、カルボン酸(R-CO-OH)に塩化チオニル(SOCl2)を反応させてカルボン酸塩化物(R-CO-Cl)を生成しているが、その機構は下記の通り。
カルボン酸(R-CO-OH)と塩化チオニル(SOCl2)の反応では、
まずカルボン酸が塩化チオニルの硫黄原子に求核攻撃を行い、中間体のクロロ亜硫酸エステルと副産物の塩化物イオン(Cl−)を生成し、
その後、クロロ亜硫酸エステルに対して塩化物イオンが付加−脱離する求核アシル置換反応が起こり、
酸塩化物(R-CO-Cl)と副産物として二酸化硫黄(SO2)と塩化水素(HCl)が生成する。
二酸化硫黄と塩化水素が反応系の外へと除かれるので、この酸塩化物の生成反応は不可逆反応となる。
◆ bについて

b ○ 反応Bは、芳香族求電子置換反応である。
反応Bは、
芳香族化合物の求電子置換反応の1種であるフリーデルクラフツアシル化である。
フリーデルクラフツ アシル化の反応機構については下記のリンク先を参照
芳香族化合物のフリーデル・クラフツアシル化 92回問10de
反応Bは、
芳香族化合物のフリーデル・クラフツ アシル化反応が分子内で起こっていると考えられる。

◆ cについて

c × 反応Cは、ベンジル位における付加反応である。
→ 〇 反応Cは、ベンジル位における置換反応である。
反応Cはベンジル位で水素と臭素が置換しているので置換反応である。
反応Cはベンジル位でラジカルハロゲン化が起こっている。
ラジカルハロゲン化の機構については下記のリンク先を参照
アルカンのラジカルハロゲン化 第88回問11a
本問のNBS(N−ブロモスクシンイミド)は臭素分子(Br2)を発生させる。
Br2に紫外線の光エネルギーが与えられると、
Br2が均一開裂し(ホモリシス)、臭素ラジカル(Br・)が発生する。
それがラジカルハロゲン化の開始となる。
反応Cのラジカルハロゲン化は下記のように進むと考えられる。

ベンジルラジカル(Ph−C・)やアリルラジカル(C=C−C・)は共鳴安定化するので、
ベンジル位やアリル位の水素がラジカルとして抜かれやすい。
そのため、設問の反応でもベンジル位でラジカルハロゲン化が起こっている。
◆ dについて

d × 反応Dは、脱離反応であり、(E)-アルケンを与える。
→ 〇 反応Dは、脱離反応であり、(Z)-アルケンを与える。
反応Dは、ハロゲン−sp3炭素の構造を有するハロゲン化合物を基質とした脱離反応によるアルケンの生成である。
ハロゲン化アルキルの脱離反応の詳細は下記のリンク先を参照
ハロゲン化アルキルのE2脱離反応 93回問8abc 
反応Dでは、
Brが結合する炭素とその炭素に隣接する炭素からそれぞれBrとHが脱離し、
それらの炭素の間にアルケン(C=C)が生成している。

IUPAC命名法において、二重結合の立体異性体の表し方について、E,Zによる表示法がある。
EZ表示法については、下記のリンク先を参照
反応Dで生成したアルケンを見ると、
-アルケンを与える.jpg)
優先順位の高いものが同じ側にあるのでZ体である。
◆ eについて

e × 反応Eの生成物には、不斉炭素が存在する。
→ 〇 反応Eの生成物には、不斉炭素が存在しない。
反応Eはケトンに対してグリニャール試薬が求核付加し、
アルコールを生成する反応である。
アルデヒド,ケトンとグリニャール試薬との反応については下記のリンク先を参照
アルデヒド,ケトンとグリニャールGrignard試薬との反応 94回問8b
この反応では、反応中心炭素が不斉炭素となり、
立体異性体が生じる可能性がある。
設問の反応Eは下記ように進む。

以上の通り、
反応Eでは反応中心炭素が不斉炭素とはならないため、
立体異性体は生じない。