反応はどれに分類されるか 97回薬剤師国家試験問6
第97回薬剤師国家試験 問6
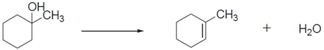
以下の反応はどれに分類されるか。1つ選びなさい。

1 置換反応
2 脱離反応
3 付加反応
4 転位反応
97回薬剤師国家試験 問6 解答解説
設問の反応は、アルコールの分子内脱水であり、OHとHが脱離してアルケンが生成しているので、脱離反応に該当する。
酸性条件下におけるアルコールの分子内脱水はE1脱離反応の機構で進行する。
詳細は下記のリンク先を参照
アルコールの酸性条件下での分子内脱水でアルケン生成 89回問9a
設問のアルコールのE1脱離による分子内脱水は下記のように進むと考えられる。

酸性条件におけるアルコールの分子内脱水はE1反応の機構で進行し、
カルボカチオン中間体を生成する段階が律速段階のため、
生成するカルボカチオンの安定性が高いアルコールほど起こりやすい。
生成するアルケンはセイチェフ則に従いC=Cの置換基がより多いものが主生成物となる。
★他サイトさんの解説へのリンク
第97回問6(e-RECさん)