求核置換反応でないのはどれか 99回薬剤師国家試験問7
第99回薬剤師国家試験 問7
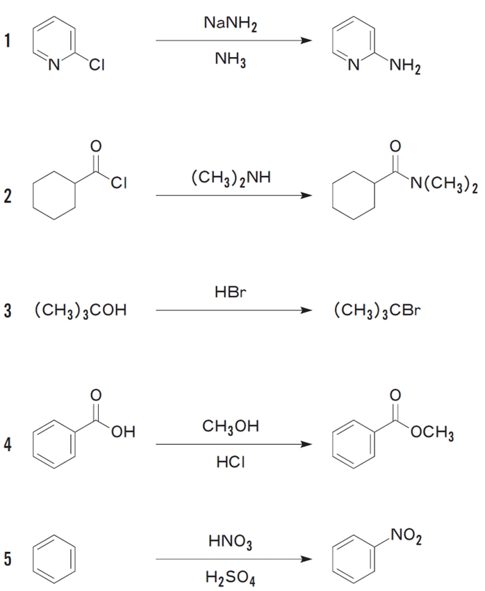
次のうち、求核置換反応でないのはどれか。1つ選びなさい。

第99回薬剤師国家試験 問7 解答解説
求核置換反応ではないのは、
5の反応である。

反応5は芳香族化合物の求電子置換反応である。
芳香族求電子置換反応の反応機構については下記のリンク先を参照
芳香族化合物の求電子置換反応の反応機構 89回問5c
反応5は芳香族化合物の求電子置換反応によるニトロ化である。
発煙硝酸(濃硝酸の1種)と濃硫酸を反応させると、
硝酸が硫酸によりプロトン化され、
その後、脱水が起きてニトロニウムイオン(+NO2)を生成する。
次いで、電子豊富な芳香環の1つの炭素に対して求電子剤のニトロニウムイオンが付加してカルボカチオン中間体を生成し、
次に同じ炭素から水素がプロトンとして外れ、
結果、芳香環の炭素の1つにおいて水素とNO2が置換したものが生成する
(求電子置換反応によるニトロ化)。
なお、芳香族求電子置換反応はスルホン化など一部を除きほとんどが不可逆反応である。
遷移状態のエネルギーの高さや中間体の安定性で反応速度が決まり、速度論的に進行する。

以下、
他の選択肢の解説
◆ 1について

反応1は芳香族求核置換反応である。

電気陰性度の大きい塩素の結合した炭素は正に分極しており(Cδ+)、
その炭素へ求核試薬であるアミドイオン(−:NH2)が求核攻撃して付加する同時にClが外れ、
結果として、ClとNH2が置換したものが生成している。
一般に、芳香環はπ電子が豊富なため、
芳香環の電子豊富な炭素で水素(H)と求電子試薬(E)が置換する求電子置換反応が起こりやすい。
一方、芳香環では求核置換反応は起こりにくい。
一般に芳香環は電子豊富なため比較的電子豊富な求核剤(Nu)とは静電的にマイナスなもの同士で反発し合うこと、また、sp2炭素−脱離基の結合は切れにくいこと、これらの要因から芳香環では脱離基と求核剤の置換反応は起こりにくい。
ただし、条件が揃えば、芳香環でも求核置換反応は起こり得る。
求核剤としてアミドイオン(−NH2)が反応する場合、
芳香環でも求核置換反応が起こり得る。
◆ 2について

反応2はカルボン酸誘導体の求核アシル置換反応である。
カルボン酸・カルボン酸誘導体を基質とする求核アシル置換反応については下記のリンク先を参照
カルボン酸・カルボン酸誘導体の求核アシル置換反応の概要
★ カルボン酸誘導体を基質とし、アミンを求核剤とする求核アシル置換反応ではアミドが生成(アミノリシス)
カルボン酸誘導体(R1-CO-L)に求核試薬として第1級・第2級アミン(NHR2R3)を反応させると、求核アシル置換反応の結果、R1-CO-Lにおいて脱離基(L)がアミン(NR2R3)に置換したアミド(R1-CO-NR2R3)が生成する。これをカルボン酸誘導体のアミノリシスと呼ぶ。
ただし、第3級アミンは立体障害が大きいことからカルボニルとは反応しない。
酸ハロゲン化物(R1-CO-X)とアミン(NHR2R3)の反応では、求核アシル置換反応(求核付加−脱離)の結果、アミド(R1-CO-NR2R3)とハロゲン化水素(HX)が生成する。

◆ 3について

反応3は求核置換反応である。
詳細は下記のリンク先を参照
アルコールのSN1反応 99回問7の3
◆ 4について

反応4はカルボン酸の求核アシル置換反応である。
カルボン酸(R-CO-OH)のカルボニル炭素に求核試薬(Nu)が反応すると、
求核アシル置換反応が起こり、
カルボン酸においてOHと求核試薬(Nu)が置換した化合物(R-CO-Nu)が生成する。
反応4はカルボン酸とアルコールからエステルを生成する求核アシル置換反応である。
詳細は下記のリンク先を参照
カルボン酸とアルコールでエステル生成(フィッシャーのエステル合成) 88回問12ab
★他サイトさんの解説へのリンク
第99回問7(e-RECさん)