108回薬剤師国家試験問109 1H-NMRスペクトル
108回薬剤師国家試験 問109
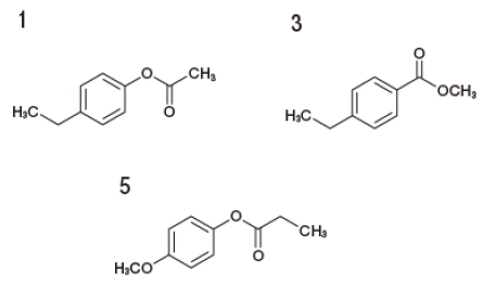
下図は、ある化合物の1H-NMRスペクトル(400MHz、CDCl3、基準物質はテトラメチルシラン)を示したものであり、表は各シグナルの積分比を一覧にしたものである。また、この化合物はIRスペクトルにて1770 cm−1付近に強い吸収を示した。この化合物の構造式として正しいのはどれか。1つ選びなさい。
なお、×印のシグナルは水又はCDCl3中に含まれるCHCl3のプロトンに由来する。


108回薬剤師国家試験 問109 解答解説
正解は1である。

まず、この化合物はIRスペクトルにて1770 cm−1付近に強い吸収を示したので、
構造中にカルボニルを有すると考えられる。
このことから、1,3,5に絞られる。

カルボン酸誘導体の赤外吸収スペクトルについては下記のリンク先を参照
カルボン酸誘導体の赤外吸収 83回問9
次に、イの2.3ppm付近の積分比3の一重線について、
2.5ppm前後の3Hの一重線で現れる構造として、
−C(=O)−CH3のメチル基や、
芳香環に置換するCH3が考えられる。

したがって、1が正解だと考えられる。
以下、他のシグナルについての解説
◆ ア,ウのシグナルについて
アとウのシグナルのように、
3Hの三重線と2Hの四重線がある場合、
エチル基(−CH2CH3)の存在が考えられる。

また、アとウの化学シフトについて、
アは電子求引基が隣接しない炭素のHなので1〜2ppmの高磁場のシグナルとなり、
ウは芳香環に直結する炭素のHなので2〜3ppmのシグナルとなっている。
◆ エ,オのシグナルについて

エとオのシグナルのように、
7〜8ppm前後に2つの2Hの二重線がある場合、
異なる2つの基が置換した1,4−二置換ベンゼン(p-二置換ベンゼン)の存在が考えられる。
以上より、
スペクトルの各シグナルと構造中の各プロトンの対応は下記のようになると考えられる。

★他サイトさんの解説へのリンク
108回問109(e-RECさん)